Título: “A new measurement of the Hubble constant using Fast Radio Bursts”
Autores: Steffen Hagstotz, Robert Reischke, Robert Lilow
Instituição do primeiro autor: The Oskar Klein Centre for Cosmoparticle Physics, Department of Physics, Stockholm University, Roslagstullsbacken 21A, SE-106 91 Stockholm, Sweden
Status: Submetido ao MNRAS [open access on arXiv]
A tensão cresce
A Cosmologia está em crise: o valor atual da Constante de Hubble (H0) – a taxa de expansão do Universo hoje – inferido dos estudos da radiação cósmica de fundo em micro-ondas (RCFM) é incompatível com o valor obtido das Supernovas do tipo Ia (SNs) distantes. Como a Constante de Hubble calibra a idade do Universo e toda a história da expansão cosmológica, a falta de consenso sobre o valor definitivo de H0 é um problema grave – talvez o maior problema na astronomia moderna! Apesar do crescimento da tensão de Hubble ao longo dos últimos anos, nenhuma explicação teórica convincente para o problema foi proposta. Até o momento, medidas de H0 que utilizam técnicas diferentes da CMB e SNs, por exemplo medidas de distâncias calibradas com o topo do ramo das gigantes vermelhas, lentes fortes de quasares, emissão de MASER e “sirenes padrões” de colisão de objetos compactos, apenas concordaram marginalmente com um ou outro lado do conflito de Hubble. Ainda não dispomos de uma evidência conclusiva e independente favorecendo um dos lados destes resultados em tensão. Os autores do artigo de hoje propõem que rajadas rápidas em rádio (RRR, do inglês fast radio burst) podem fornecer esta evidência.
Tuning into Extragalactic Radio Broadcasts
RRRs são pulsos em rádio extremamente energéticos e curtos, durando cerca de milissegundos. Enquanto a colaboração CHIME pode ter confirmado que magnetares são origens de RRRs, isto não elimina outras possíveis origens; o fato de termos observados que algumas RRRs repetem periodicamente, enquanto outras repetem de maneira irregular – ou não se repetem jamais – podem indicar que há classes diferentes de progenitores de RRRs. Independentemente disto, temos forte evidência que estes RRRs são distribuídas isotropicamente no céu, e variam de distância de dentro da Via Láctea até o espaço extragaláctico profundo; assim, parece claro que sinais de RRRs podem ser sondas cosmológicas que nos permitem enxergar o Universo distante – por exemplo, RRRs podem ser usadas para impor vínculos sobre a fração de gás difusa no meio intergaláctico. Na verdade, tudo que precisamos para inferir o poder cosmológico das RRRs são a sua localização no espaço, sua posição no céu, e uma quantidade chamada medida de dispersão, que é a componente chave que permite conectar RRRs à Constante de Hubble.
Conforme a onda de rádio se propaga através do espaço intergaláctico, ela interage com os elétrons livres, desacelerando com cada interação; o número de elétrons com os quais a onda em rádio interage conforme ela se propaga da fonte até o observador é quantificada pela medida de dispersão (abreviado como DM, mas não confundir com “matéria escura” – em inglês, dark matter – ou mesmo mensagem direta – em inglês, “direct message”). Frequências mais baixas em rádio são desaceleradas por elétrons livres em maior grau do que as frequências mais altas; portanto, podemos inferir a medida de dispersão ao observar o tempo de atraso entre diferentes componentes de frequência de um pulso de radio. Uma visualização alegórica da dispersão dependente de frequência é mostrada na Figura 1.

Crédito da imagem: New Scientist.
Os autores notam que a DM associada com um pulso de RRR pode ser dividida em três componentes: uma delas relacionada aos elétrons na Via Láctea, uma relacionada aos elétrons no halo da galáxia hospedeira do RRR, e a última, por sua vez, é relacionada aos elétrons presentes na estrutura em grande escala (EGE) do meio intergaláctico (MIG). A DM associada a Via Láctea pode ser calculada com relativamente grande acurácia baseando-se em modelos da distribuição de elétrons galáctica. Por sua vez, a DM devido a hospedeira do evento apresenta incerteza significativa devido à limitações observacionais de hospedeiros distantes de RRRs. Apesar deste limite observacional ser a principal fonte de incertezas neste estudo, é o DM no EGE que possui a informação mais crucial: A sensibilidade da EGE às condições do MIG, e à expansão do Universo, confere à DM uma dependência direta entre redshift, densidade cósmica de bárions (matéria luminosa, composta por prótons e elétrons) e H0.
Da medida de dispersão ao tesouro cosmológico
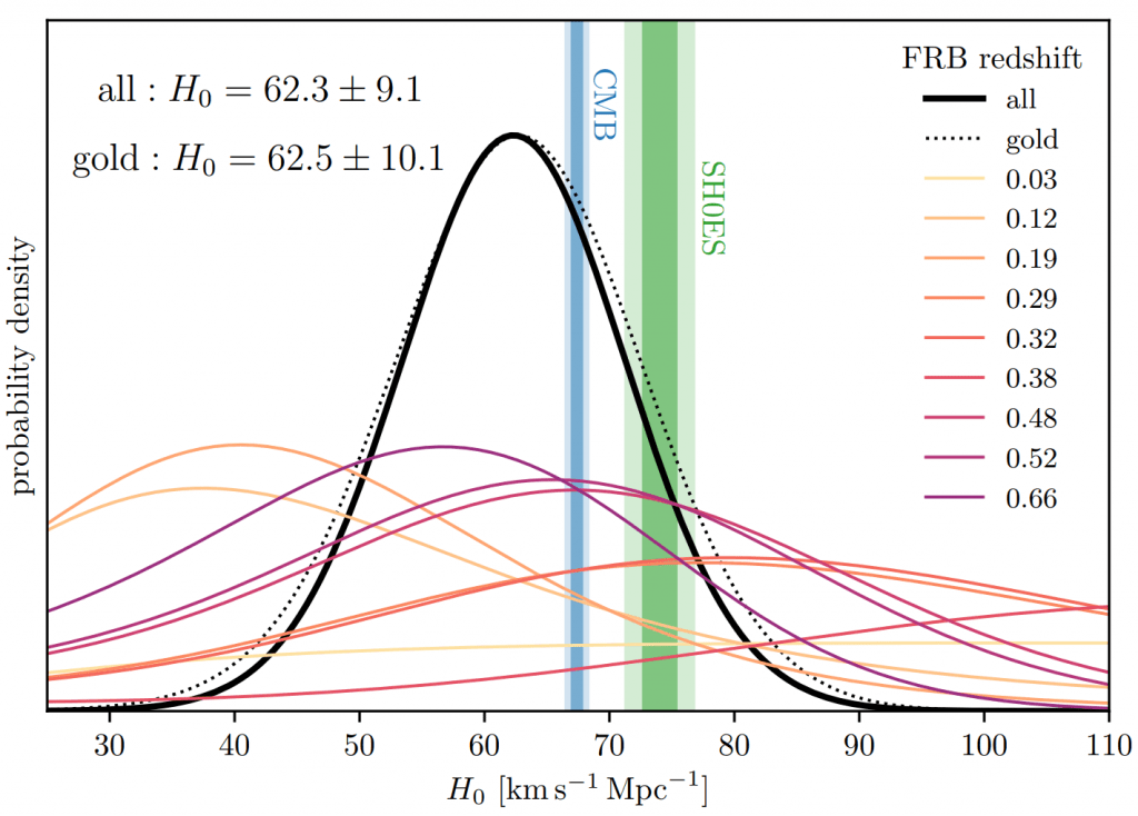
Enquanto um total de 118 sinais de rádio transientes foram confirmados como RRRs, apenas nove delas apresentam uma galáxia hospedeira identificada com uma estimativa de redshift associada; os autores então utilizaram estes nove objetos como sua amostra observacional. Para cada RRR, eles mediram a DM total, depois subtraíram as contribuições estimadas da Via Láctea e do halo hospedeiro, deixando apenas a contribuição cosmológica importante da EGE. Os autores construíram funções de densidade de probabilidade (PDFs, do inglês “probability density functions“) parametrizadas pela Constante de Hubble para cada RRR, as quais refletem suas respectivas funções de verossimilhança e incertezas. Combinando estas nove PDFs, os autores obtiveram uma distribuição centrada em H0 = 62.3 ± 9.1 km s-1 Mpc-1, um valor 5.1 km s-1 Mpc-1 abaixo do valor médio da medida mais recente da RCFM e 11.7 km s-1 Mpc-1 abaixo do vínculo mais recentes de SNs. Os autores repetiram a análise descartando as três medidas mais incertas de DM das RRRs, encontrando uma nova PDF conjunta centrada em H0 = 62.5 ± 10.1 km s-1 Mpc-1 . Estes resultados são mostrados na Figura 2.

Para concluir o artigo, os autores estimam o número de RRRs necessário para restringir H0 a nível de um por cento; com esta precisão, os valores de H0 de RRRs poderiam servir como um árbitro independente entre resultados de RCFM e SNs. Os autores encontram que apenas algumas centenas de RRRs são necessárias para restringir suficientemente a relação entre DM e redshift e as incertezas grandes na DM da galáxia hospedeira. Com instrumentos recentes como CHIME, HIRAX e ASKAP, esperamos detectar dúzias de eventos toda noite. Além disso, a missão futura Square Kilometer Array promete ser capaz de descobrir milhares de RRRs a cada noite. Portanto, o futuro da cosmologia de RRRs parece mais brilhante do que os próprios eventos!
Artigo adaptado de “Bursting the Hubble Trouble Bubble: Measuring H0 with Fast Radio Bursts”, publicado no astrobites em 27 de Abril de 2021 por Ryan Golant.

1 comentário