Poucos meses atrás, van Dokkum et al. publicaram um artigo na revista Nature sobre a galáxia ultra-difusa NGC1052-DF2 (o artigo está disponível no arXiv, e você pode conferir um excelente resumo aqui). Analisando espectros de aglomerados globulares nessa galáxia, os autores concluíram que NGC1052-DF2 possuía uma massa dinâmica muito próxima à sua massa estelar, sugerindo que NGC1052-DF2 teria muito menos matéria escura do que outras galáxias com massa similar.
Esse resultado impressionante gerou bastante polêmica (e até alguns memes), e levou a comunidade astronômica a fazer várias perguntas. Primeiramente, esse resultado é mesmo real? E se NGC1052-DF2 é realmente deficiente em matéria escura, como tal galáxia se formou? Finalmente, como teorias alternativas que não incluem matéria escura explicariam essa galáxia (e outras que possam ser como ela)? Essas perguntas naturalmente resultaram em vários artigos publicados em resposta ao artigo de van Dokkum et al. O astroponto de hoje acompanha um pedaço desse debate, apresentando dois desses artigos.
Artigo I: Sádica estatística
Título: Current velocity data on dwarf galaxy NGC1052-DF2 do not constrain it to lack dark matter
Autores: Nicholas F. Martin, Michelle L.M. Collins, Nicolas Longeard, Eric Tollerud
Instituição do primeiro autor: Université de Strasbourg, CNRS, França
Status: publicado no ApJL [acesso aberto]
Segundo uma frase popularizado pelo escritor Mark Twain e atribuída ao primeiro ministro britânico Benjamin Disraeli, “Existem três tipos de mentira: mentiras, malditas mentiras e estatísticas”. Esse é o principal ponto deste artigo de Martin et al. O artigo de van Dokkum et al. analisou os espectros de dez objetos compactos em NGC1052-DF2 (que se acredita serem aglomerados globulares bastante grandes e brilhantes) e utilizou o redshift de várias linhas de absorção para estimar as velocidades desses objetos ao longo da linha de visada. Essas medidas foram então utilizadas para estimar a velocidade de dispersão da galáxia, que por sua vez permite estimar a massa dinâmica de um objeto interna a um certo raio. A massa dinâmica em princípio inclui tanto matéria escura quanto estrelas, de modo que ela pode ser comparada à massa total das estrelas para que se verifique se o sistema é dominado (ou não) por matéria escura.
Contudo, fazer uma análise estatística com apenas N=10 medidas (e essas medidas não são fáceis! Veja a Fig. 1) é realmente complicado. Acontece que, dependendo de como a análise é feita, obtêm-se diferentes valores para a velocidade de dispersão de NGC1052-DF2. No artigo de van Dokkum et al., os autores utilizaram um estimador frequencista chamado de biweight dispersion measure, ou medida de dispersão bipeso. Isso é similar ao bem conhecido desvio padrão, mas modificado para lidar melhor com distribuições não-gaussianas. (Se você quiser saber mais, há explicação detalhada neste artigo em inglês).

Martin et al. argumentam que esse não é um bom método para uma amostra tão pequena. Eles sugerem que um modelo gerador deveria ser utilizado — ou seja, que se deveria primeiro definir um modelo e então maximizar a probabilidade de que o modelo gere os dados observados. Martin et al. assumem uma distribuição Gaussiana com uma fração de contaminantes seguindo uma distribuição uniforme.
Há também muito a se considerar sobre um objeto em particular, GC-98, que apresenta uma dispersão de velocidade de 39 km/s, discrepante comparada às velocidades menores obtidas para os outros objetos (Fig. 1). Além disso, as medidas de velocidade desse objeto não parecem muito precisas: subtraindo do espectro observado o modelo de melhor ajuste, os resíduos não se parecem com ruído aleatório (como deveria ser para um bom ajuste), o que é bastante suspeito.
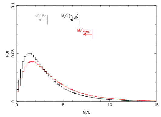
A diferença entre os métodos estatísticos utilizados por van Dokkum et al. e por Martin et al. leva a diferentes estimativas da variável física em questão: a razão massa-luminosidade (Fig. 2). Essa razão auxilia a quantificar o quão dominado por matéria escura um sistema é: uma alta razão massa-luminosidade implica que há mais massa do que pode ser atribuído a matéria luminosa, de modo que deve haver matéria escura. Contudo, van Dokkum et al. enfatizam que a maioria dos seus resultados são baseados em um limite superior de velocidade de dispersão de 10.5 km/s, que na verdade é consistente com a estimativas de Martin et al. de 9.2+4.8-3.6 km/s (ou 6.8+4.6-3.4 km/s se o problemático GC-98 é removido). Pode ser então que quaisquer inconsistências tenham mais a ver com a maneira com o que a razão massa-luminosidade é calculada, do que com a análise estatística em si, como sugere a Fig. 2.

Artigo II: A polêmica dos aglomerados
Título: Measured and found wanting: reconciling mass-estimates of ultra-diffuse galaxies
Autores: Chervin F. P. Laporte, Adriano Agnello, Julio F. Navarro
Instituição do primeiro autor: University of Victoria, Canadá
Status: submetido ao MNRAS [acesso aberto]
A seção anterior discutiu a forma como os dados foram analisados… mas e se os dados em si não são adequados para estudar o sistema físico? E se aglomerados globulares na verdade não são bons traçadores do conteúdo de matéria escura em uma galáxia? Isso é exatamente o que Laporte et al. consideram. Eles usam o mesmo método de Dokkum et al. para medir as velocidades de quatro aglomerados globulares em Fornax dSph, uma galáxia anã esferoidal que é satélite da Via-Láctea. Fornax dSph foi bastante estudada — as velocidades de milhares de suas estrelas individuais foram utilizadas para estimar a massa dinâmica da galáxia e determinar que ela é dominada por matéria escura.
Laporte et al. mostram que medidas a partir de aglomerados globulares podem facilmente subestimar a massa dinâmica de Fornax dSph, o que poderia levar a uma falsa conclusão de que ela é deficiente em matéria escura. Essa sistemática é pior quando as velocidades dos aglomerados globulares têm alta incerteza, e ainda pior quando a amostra é pequena. Eles também mostram que Fornax dSph e NGC1052-DF2 não são um caso particular entre galáxias ultra-difusas (Fig. 3), de modo que esse tipo de subestimativa não é especial — o fato é simplesmente que aglomerados globulares não são bons traçadores de massa.

Estamos presos no escuro?
Os artigos discutidos acima não são as únicas respostas ao artigo de van Dokkum et al. Outras respostas exploram como teorias que não incluem matéria escura, como Dinâmica Newtoniana Modificada (MOND, do inglês Modified Newtonian Dynamics), são capazes de produzir um sistema com uma velocidade de dispersão baixa como a encontrada por van Dokkum et al. para NGC1052-DF2. Outros grupos mediram a massa dinâmica de mais galáxias ultra-difusas, mostrando que podem existir outras dessas galáxias que parecem ser deficientes em matéria escura.
Os artigos de hoje, que apontam potenciais falhas nos dados ou na análise estatística de van Dokkum et al., ilustram uma pequena parte de um diálogo científico ainda em andamento. De fato, esse tipo particular de conversa ocorre quase sempre que um novo resultado é anunciado — a ciência é cética por natureza.
Como popularizou Carl Sagan, “afirmações extraordinárias requerem evidências extraordinárias”. Uma galáxia que tem bem menos matéria escura que esperado é definitivamente um resultado extraordinário. Há evidências extraordinárias o suficiente para confirmá-lo? Os artigos de hoje argumentam que não; os autores do artigo original provavelmente discordam (você pode ver algumas das respostas de P. van Dokkum a esses artigos aqui). É preciso mais dados para verificar quem está certo; por enquanto, você vai ter que decidir sozinho de que lado está.
