Título: Log-normal star formation histories in simulated and observed galaxies
Autores: Benedikt Diemer, Martin Sparre, Louis E. Abramson, and Paul Torrey
Instituição do primeiro autor: Institute for Theory and Computation, Harvard-Smithsonian Center for Astrophysics, Cambridge, EUA
Status: Publicado pelo Astrophysical Journal (ApJ), [Open access]
Cada galáxia tem uma estória para contar. E cada estória tem alguns pontos em comum: estrelas jovens morrendo em supernovas violentas, surtos de atividade dos buracos negros supermassivos em seus centros, fusões com outras galáxias, e outros eventos astrofísicos dramáticos que podem mudar o curso da evolução de cada galáxia. Uma propriedade da galáxia em particular pode sofrer forte impacto por estes eventos, a propriedade que conta quantas estrelas são formadas em um dado tempo. A taxa de formação estelar (SFR, do inglês star formation rate) dada ao longo do tempo de vida de uma galáxia é conhecida como o histórico de formação estelar (SFH, do inglês star formation history), e é de interesse dos astrofísicos que tentam entender a vida de todas as galáxias.
Infelizmente, nós podemos ver apenas as estrelas que estão na galáxia em um dado tempo; para deduzir o histórico passado de formação estelar devemos olhar para evidências de eventos de formação estelar passados. Para galáxias próximas, podemos ver isso com detalhe suficiente para separar as populações de estrelas, e determinar suas idades individuais. Mas para galáxias mais distantes nós só conseguimos observar a luz combinada de todas as estrelas misturadas, e então temos que separar cada componente para obtermos o histórico de formação estelar.
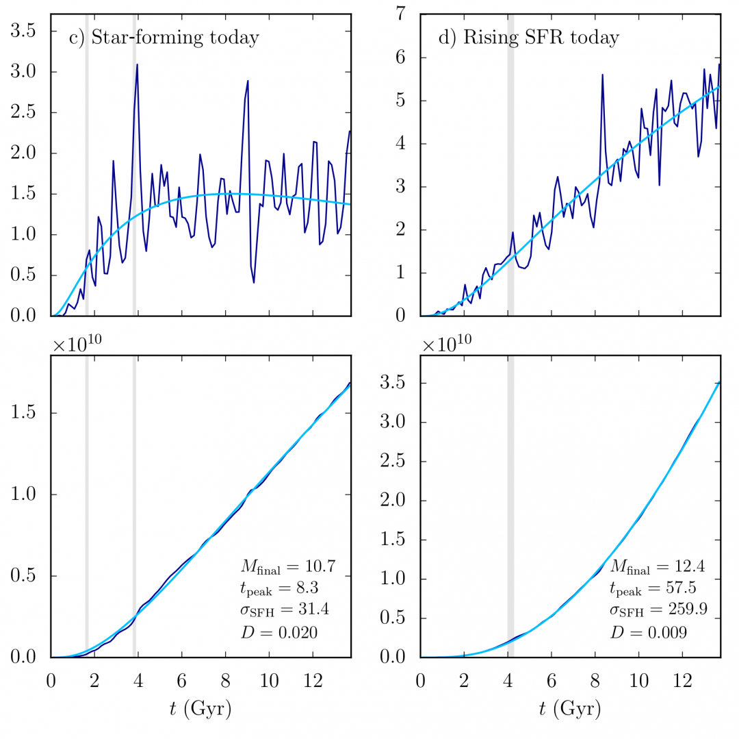
Em simulações de galáxias, podem observar explicitamente o SFH em alta resolução. Os autores do trabalho de hoje estudaram galáxias na simulação Illustris, uma das mais avançadas simulações cosmológicas da atualidade, focada em formação de galáxias. Eles encontraram que, enquanto que os SFHs tende a ter uma grande variação, na média eles mostram formatos semelhantes ao longo do tempo. Este formato é conhecido como distribuição log-normal, e tipicamente exibe um pico agudo, e então uma queda gradual.

A Figura 2 mostra outras duas galáxias que são bastante diferentes. Ambas estão formando estrelas hoje, com a galáxia (d) tendo um aumento de SFR. Apesar de terem diferentes formas de SFH, a distribuição log-normal ainda gera um bom ajuste.

Os autores encontram uma correlação entre o tempo de pico de SFR e a largura da distribuição: picos que ocorrem cedo tendem a ser mais estreitos, enquanto picos que ocorrem mais tarde tendem a ser mais largos. Em outras palavras, galáxias que se formam cedo crescem rapidamente, enquanto galáxias que se formaram mais tarde tomam seu tempo, crescendo aos poucos em um período maior. Isso é mostrado nos exemplos das figuras 1 e 2: as galáxias que formam a maioria de suas estrelas cedo tem distribuições estreitas, enquanto as que ainda formam estrelas tem distribuições bem mais largas.
Distribuições log-normals também têm suas limitações. Interações entre galáxias, como fusões, podem gerar surtos de formação estelar, e então parar com a formação subitamente. Log-normals têm dificuldade em ajustar este comportamento. Mas para a maioria das galáxias massivas, as log-normals descrevem muito bem suas estórias em termos de formação estelar, ajudando os astrônomos a entender a estória de cada galáxia, do início ao fim.
Adaptado do original em inglês: Biography of a Galaxy: Uncovering Star Formation Histories, por Christopher Lovell

1 comentário