Título:Photosynthesis on habitable planets around low-mass stars
Autores: Manasvi Lingam and Abraham Loeb
Instituição do primeiro autor: Institute for Theory and Computation, Harvard University, USA and Harvard-Smithsonian Centre for Astrophysics, USA
Status: Accepted for publication in MNRAS, acesso aberto no arXiv
A fotossíntese é uma força motriz essencial para a vida na Terra. As plantas absorvem dióxido de carbono, água e energia do Sol, convertem isso em açúcar e liberam oxigênio na atmosfera. Esse processo enganosamente simples domina a ‘produtividade primária líquida’ (NPP) da Terra, ou a taxa na qual a energia da biomassa é armazenada e disponibilizada para outros organismos – em outras palavras, a fotossíntese fornece a principal fonte de energia acessível para todas as formas de vida que não produzem a sua própria fonte de energia (como nós)! Considerando que a fotossíntese é um processo tão crucial em nosso próprio planeta, é lógico que seria tão importante em qualquer outro planeta em nossa galáxia que pudesse hospedar vida. Mas será que funcionaria do mesmo jeito em mundos alienígenas?
Alguns cientistas acreditam que uma classe específica de estrela, chamada ‘anãs M’, é o lugar ideal para procurar exoplanetas semelhantes à Terra, pois seu tamanho pequeno facilita a detecção de planetas do tamanho da Terra ao seu redor e suas longas vidas poderiam permitir o tempo suficiente para a vida se desenvolver e evoluir. No entanto, estar no lado mais frio da família estelar com temperaturas de superfície em torno de 3000 graus Kelvin (comparativamente frias) significa que as anãs M possuem cor vermelha e tem um brilho fraco. Como a luz solar é a força motriz da fotossíntese e, portanto, de toda a vida na Terra, isso representa um problema em potencial: os planetas que orbitam essas estrelas vermelhas fracas seriam capazes de sustentar biosferas semelhantes à Terra?
A quantidade certa de luz para a vida
Para abordar essa questão, os autores analisaram os comprimentos de onda da luz necessários para a fotossíntese, conhecida como ‘radiação fotossinteticamente ativa’ (PAR). Essa radiação é composta de fótons entre 400 e 700 nanômetros de luz visível. Eles então calcularam o quanto dessa radiação a Terra receberia se estivesse orbitando diferentes tipos de estrelas para encontrar a taxa de produção de fótons PAR para uma dada luminosidade estelar. Comparados ao Sol, as anãs M emitem mais fótons de baixa energia e são menos luminosas, o que significa que emitem menos fótons de PAR por segundo, de modo que uma Terra que orbita essas estrelas receberia um fluxo de PAR menor.
No entanto, a questão principal aqui é verificar se esse fluxo de PAR é baixo o suficiente para ter um impacto negativo no potencial do planeta de hospedar uma biosfera significativa. Como conhecemos apenas uma biosfera no Universo – a nossa – os autores decidiram calcular o fluxo de PAR aqui na Terra (F⊕) e considerá-lo um valor crítico. Em outras palavras, as Terras que orbitam estrelas que recebem um fluxo de PAR menor que o terrestre teriam menos probabilidade de ter uma biosfera significativa, pois teriam um NPP menor que a Terra. Seguindo essa abordagem, eles descobriram que estrelas com cerca de 21% da massa do Sol (~ 0,21 M⊙) eram o ponto de inflexão, e as massas abaixo disso forneceriam um fluxo PAR muito menor do que o valor crítico (veja a Figura 1).

Flares: não apenas uma modinha
Parece um bom resultado para as nossas anãs M, que têm massas em torno de 0,07-0,60 M⊙. No entanto, as coisas não parecem tão boas quando você leva em consideração o fato de que a maioria das estrelas anãs M tem massas abaixo desse limite e que as anãs M em geral são “ativas”; eles lançam muito material de alta energia para o espaço na forma de explosões (como as explosões solares), o que pode ser potencialmente prejudicial para a vida. No entanto, vale a pena notar que essa radiação adicional também pode ser vantajosa, pois alguns fótons dessas explosões também contribuem para o fluxo de PAR. Ao quantificar essa contribuição, os autores pensaram que as anãs M de baixa massa poderiam ser capazes de hospedar planetas com biosferas da Terra, afinal.
Infelizmente, seus cálculos fizeram pouca diferença. Apesar do fato de 40% do fluxo da explosão estar na faixa do PAR, ainda não foi suficiente para dar vantagem às anãs M de massa mais baixa. Usando dados do telescópio de busca de planeta TESS, eles determinaram que menos de 1% de todas as anãs M que produzem explosões têm uma taxa de explosões suficientemente alta para aumentar seu fluxo PAR total acima do valor crítico. De qualquer forma, os autores observam que nossa percepção de como a fotossíntese acionada por explosões pode funcionar é duvidosa, pois os fótons adicionais de alta energia emitidos podem ajudar ou dificultar o processo de várias outras maneiras. As explosões, portanto, pouco ajudam o caso das anãs M!
Atmosferas com oxigênio
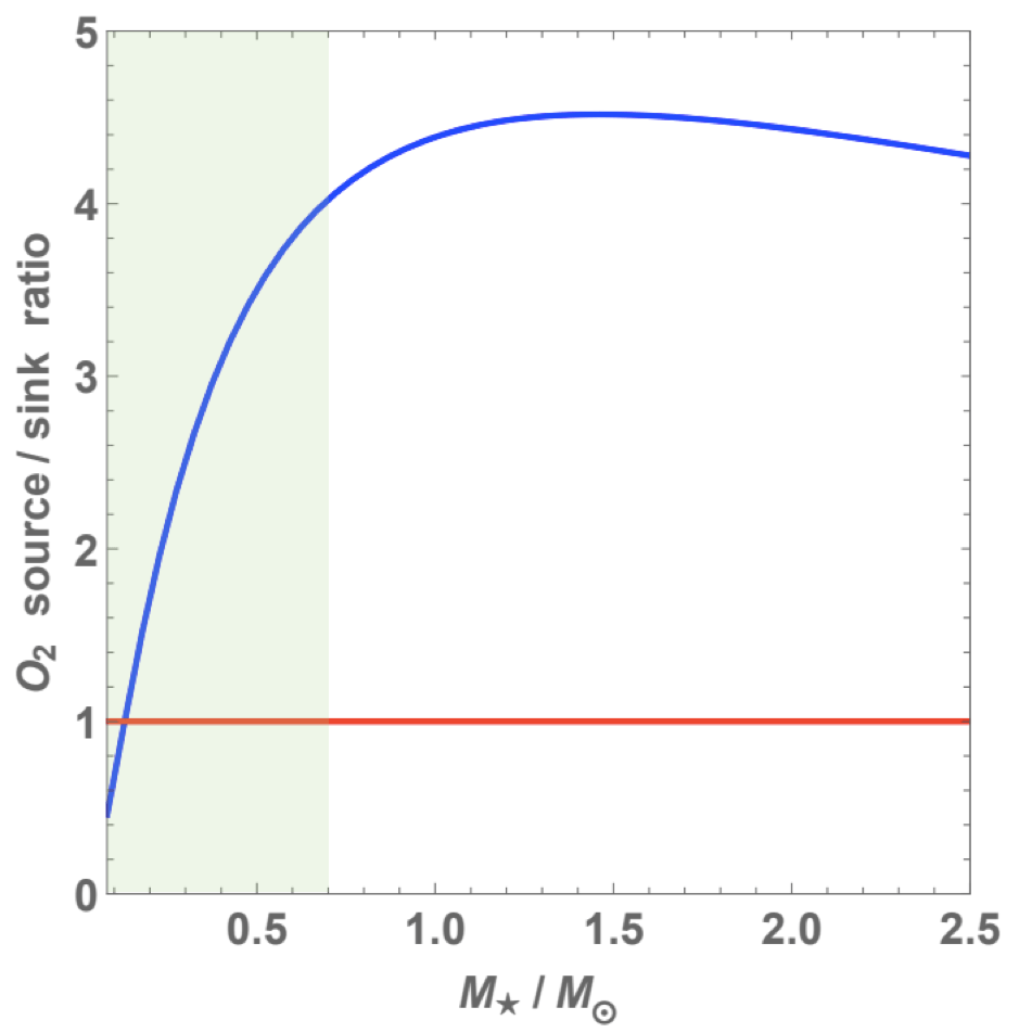
A última etapa do estudo adotou uma abordagem ligeiramente diferente para o problema. Em vez de olhar para a razão de fluxo do PAR para estrelas diferentes, eles pensaram na quantidade de oxigênio que estaria presente na atmosfera de um planeta semelhante à Terra como resultado da fotossíntese. Os planetas capazes de sustentar uma atmosfera oxigenada precisam ter uma taxa de criação de O2 que exceda a taxa na qual o oxigênio é absorvido pelos ‘absorvedores’ de O2; em outras palavras, a ‘razão de fonte para absorção’ (DO2) deve ser maior que 1. Como os principais absorvedores de O2 na Terra são geológicos e, portanto, não são influenciados pelas propriedades da estrela hospedeira do planeta, os autores apenas variaram a Taxa de criação de O2. Isso significa que, mais uma vez, seus resultados dependem do fluxo de PAR recebido na superfície do planeta, pois a fotossíntese exige que os fótons de PAR ocorram.

Comparado às razões de fluxo do PAR, o resultado desses cálculos foi um pouco mais positivo para as anãs M, mas mais uma vez, o ponto de fabricação ou quebra ainda estava em torno de estrelas de baixa massa a ~ 0,13 M⊙ (Figura 2). Embora isso não signifique que não teria O2 na atmosfera dos planetas em torno dessas estrelas, significa que não haverá uma quantidade significativa – o que dificulta a vida dos astrônomos que poderiam estar tentando detectá-lo. Além disso, baixos níveis de oxigênio podem ter grandes implicações para a evolução da vida nesses planetas, pois alguns cientistas acreditam que um dos principais requisitos para uma vida complexa é a abundância desse material.
Nem tudo está perdido
Em resumo, os autores descobriram que estrelas com massas superiores a ~ 0,21 M⊙ têm o potencial de hospedar planetas semelhantes à Terra com oxigênio em suas atmosferas além de um NPP semelhante ao da Terra, desde que a disponibilidade de fótons PAR seja o principal fator limitante. Qualquer um desses planetas ao redor de estrelas com massas entre ~ 0,13 M⊙ e ~ 0,21 M⊙ também pode ser habitável e conter oxigênio em suas atmosferas, mas eles podem não ser capazes de atingir uma NPP tão alta quanto a da Terra e, posteriormente, sua as biosferas podem não ser tão significativas, potencialmente tornando-as indetectáveis. Finalmente, estrelas inativas com massas inferiores a ~ 0,13 M⊙ têm mais probabilidade de hospedar planetas com pouco ou nenhum oxigênio em suas atmosferas. Embora haja alguns resultados interessantes aqui, parece que procurar vida em torno das anãs M pode não ser tão promissor quanto se pensava. No entanto, nem tudo está perdido!Como em qualquer estudo científico, é importante considerar as suposições que foram feitas, e sempre existem algumas grandes quando falamos sobre a vida no espaço. Para começar, os autores consideraram apenas planetas com as mesmas propriedades físicas que a nossa Terra, o que significa que a história contada aqui provavelmente varia consideravelmente para diferentes tipos de planetas. Além disso, não temos idéia de como a fotossíntese pode funcionar ou evoluir para se adequar a esses novos ambientes – existem estudos que indicam que a fotossíntese em comprimentos de onda infravermelhos pode ser possível. Também sabemos que há uma série de fatores que contribuem para a habitabilidade potencial de um planeta, incluindo a disponibilidade de água e nutrientes; portanto, embora a fotossíntese seja realmente um bom ponto de partida, os autores observam que seus modelos podem ser refinados ainda mais. Também vale lembrar que, só porque nossos planetas orbitando anãs M de baixa massa não se sustentaram em comparação com a Terra, não quer dizer que eles não possam hospedar nenhuma vida, mas sim que provavelmente não são capazes de hospedar uma biosfera tão grande como a que encontramos em nosso próprio planeta.
Do original em inglês “Green plants on red planets: would photosynthesis work?” por Rosanna Tilbrook.

Parabéns pelo Trabalho! Muito bom! Me ajudou muito!
CurtirCurtir