Título: AGN feedback in dwarf galaxies?
Autores: Gohar Dashyan, Joseph Silk, Gary A. Mamon, Yohan Dubois, Tilman Hartwig
Instituição do primeiro autor: Institut d’Astrophysique de Paris, França
Status: Publicado no MNRAS, acesso livre no arXiv
Simulações cosmológicas usando nosso melhor modelo de universo, o ΛCDM, fazem um bom trabalho em reproduzir a estrutura em larga escala. Mas quando olhamos para as coisas com mais cuidado, em escalas menores, elas começam a ficar complicadas. Galáxias anãs, os tijolos que constroem as estruturas em larga escala, nos trazem uma série de problemas. O “problema das galáxias satélites ausentes”, por exemplo, descreve o fato de que simulações predizem que muitas mais galáxias anãs existem ao redor de galáxias massivas como a Via Láctea do que é observado. Uma solução proposta para esse problema é que, apesar de muitas galáxias anãs satélites existirem, apenas as mais massivas têm estrelas o suficiente para serem visíveis. Infelizmente isso gera mais um desafio, conhecido como o problema “muito grande para falhar”: essas galáxias satélites visíveis deveriam, então, ser muito mais massivas do que as observadas no grupo local. Para resolver esse problema, processos físicos adicionais são necessários para suprimir a formação das galáxias anãs maiores.
Esses são apenas dois de dez problemas que surgem das inconsistências entre observações e simulações de galáxias anãs que Joseph Silk (um dos autores do artigo de hoje) lista em um artigo um pouco especulativo de 2017. Como ele menciona, houve um grande número de soluções propostas para esses problemas. A maioria se baseia em retroalimentação (ou feedback) de supernovas, responsável pela ejeção do gás das galáxias, impedindo que esse gás forme estrelas. Mas muitas dessas propostas requerem um nível “desconfortável” de condições específicas para reproduzir as observações. Isso tem levado os cientistas a questionar o modelo ΛCDM, se perguntando se talvez o modelo de matéria escura é falho. Silk argumenta o contrário — que uma física fundamental nova não é necessária, mas sim uma solução elegante que possa simultaneamente resolver todas essas inconsistências. A solução, um “novo ingrediente” na receita da formação de galáxias, seria o feedback de buracos negros de massa intermediária (IMBHs, do termo em inglês), que se localizam no coração das galáxias anãs.
O artigo de hoje segue as idéias apresentadas por Silk anteriormente de uma forma mais rigorosa. Aqui os autores investigam o balanço energético do feedback de IMBHs, para descobrir se realmente é um candidato possível para o ingrediente faltante. Neste caso, feedback significa o processo pelo qual se produz energia através de um núcleo ativo (AGN, do termo active galactic nuclei) — um buraco negro acretando matéria — gerando um fluxo de dentro para fora (o que chamamos de outflow), expulsando gás e prevenindo mais formação estelar, logo desligando o crescimento da galáxia.

Esse artigo pergunta quão eficiente o feedback de AGNs poderia ser em galáxias anãs, em relação ao feedback invocado geralmente, o de supernovas. Esse feedback poderia cumprir um papel significante em moldar a população de galáxias anãs, e resolver os problemas citados? Um modelo simples do modelo desse feedback é mostrado na Figura 1.
Os autores definem uma massa crítica de halo, abaixo da qual o outflow causado pelo AGN é energético o suficiente para que gás escape da força gravitacional da galáxia. Acima da massa crítica, o potencial gravitacional é muito grande: conforme o outflow propaga pela galáxia, ele esfria e perde energia, e não consegue exceder a velocidade de escape do halo.
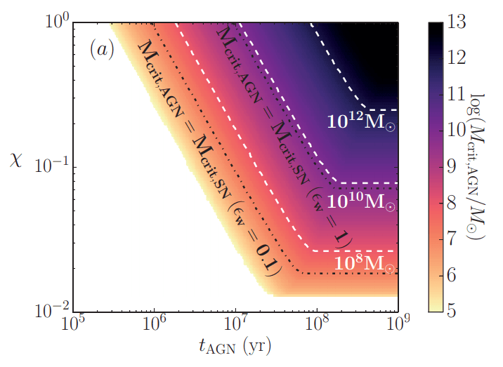
Eles então investigam como vários parâmetros físicos, como a duração e a eficiência da atividade nuclear, influenciam essa massa crítica do halo. Os resultados estão resumidos na Figura 2.

O ponto em que a massa crítica é igual para outflows gerados por AGN e outflows gerados por supernovas é marcado pela linha tracejada-pontilhada preta, para duas eficiências de supernova ϵw: qualquer coisa acima e à direita dessa linha mostra onde o feedback do AGN domina o de supernovas. Observações indicam que a eficiência do feedback de supernovas é menor do que 10% — a linha tracejada-pontilhada inferior no gráfico. Modelando o balanço energético dos outflows via AGN, os autores mostram que para quase todas as combinações de eficiência e duração, feedback de AGNs são dominantes em relação ao feedback de supernovas, expulsando gás para fora da galáxia. Isso indica uma possível solução para o problema “muito grande para falhar”, já que feedback de AGNs pode ser bem sucedido em desligar o crescimento até das galáxias anãs mais massivas, onde o feedback mais fraco de supernovas tem dificuldade em ser eficiente.
Enquanto os autores percebem que esse modelo é simplista — por exemplo, eles não tentam modelar como o feedback de supernovas iria interagir com o feedback de AGNs, mas consideram os processos independentes — esse é um primeiro passo para entender os efeitos de feedback de IMBHs em galáxias anãs. É uma ideia que poderia gerar uma explicação para as discrepâncias entre simulações cosmológicas e observações de galáxias anãs, sem que seja preciso modificar a física fundamental. Futuras simulações que levam em conta maiores complexidades podem revelar mais sobre a plausibilidade dessa solução, que pode ser verificada somente com observações mais robustas de IMBHs e seus efeitos em galáxias anãs.
Adaptado do original em inglês, Monsters in miniature, por Joanna Ramasawmy
