Título: Source confusion from neutron star binaries in ground-based gravitational wave detectors is mininal
Autores: Aaron D. Johnson, Katerina Chatziioannou e Will M. Farr
Instituição do primeiro autor: California Institute of Technology, EUA
Status: Publicado no Physical Review D [acesso fechado]
Em 11 de fevereiro de 2016, as colaborações LIGO (Laser Interferometer Gravitational-Wave Observatory) e Virgo anunciaram a primeira detecção de ondas gravitacionais. Essa detecção — criada pela inspiração final e eventual fusão de um par de buracos negros — inaugurou uma nova era de pesquisa astrofísica multimensageira. Desde então, muitas outras observações e usos para estudos de ondas gravitacionais foram estabelecidos. A comunidade astronômica está profundamente investida no futuro da pesquisa de ondas gravitacionais. A próxima missão, LISA (Laser Interferometer Space Antenna), é digna de nota. Além disso, os astrônomos estão ansiosos pelas atualizações da próxima geração nos observatórios LIGO e Virgo.
O artigo de hoje destaca as futuras melhorias no LIGO e no Virgo, analisando prospectivamente possíveis dificuldades futuras de observação. As melhorias planejadas para esses observatórios aumentarão tanto a sensibilidade dos instrumentos, quanto o intervalo de frequências de possíveis observações, mas também aumentarão a preocupação com a confusão de fontes.
O que é confusão de fontes?
Embora LIGO e Virgo sejam observatórios astronômicos, eles se diferem significativamente de telescópios padrão de várias maneiras. Enquanto um telescópio normal pode ser apontado para uma fonte particular ou um conjunto de fontes próximas, detectores interferométricos são passivos, e esperam que as ondas gravitacionais os atravessem. Nesse sentido, LIGO e Virgo estão constantemente observando o céu inteiro de uma única vez. Isso é bom para capturar eventos transientes, como a inspiração de objetos compactos, mas pode criar problemas se dois sinais de onda gravitacional chegam aos interferômetros simultaneamente. Diz-se que ocorre uma “confusão de fonte” (ou “confusão de sinal”) quando dois sinais de ondas gravitacionais com faixas de frequências sobrepostas são observados concomitantemente. O crescente alcance dos observatórios de ondas gravitacionais da próxima geração significa que esperamos ver uma taxa elevada de eventos de ondas gravitacionais, aumentando a probabilidade de confusão de fontes.
O artigo de hoje objetiva abordar duas questões relacionadas ao problema da confusão de fontes: (i) com que frequência devemos esperar ver sinais com sobreposição de tempo-frequência?; e (ii) até que ponto a sobreposição de tempo-frequência impacta nossa capacidade de estimar características (ou parâmetros) dos sistemas de fontes? Para ambas, os autores fazem uso de dados simulados baseados no parâmetro de distribuição existente de estrelas binárias de nêutrons (BNS, do inglês Binary Neutron Star) e buracos negros binários (BBH, do inglês Binary Black Hole) observados.
Sobreposição tempo-frequência
Para quantificar com que frequência sobreposições tempo-frequência podem ocorrer, o artigo de hoje começa calculando o número esperado de fusões observáveis. Como as fusões de BNS são mais comuns do que as fusões de BBH ou fusões estrela de nêutron-buraco negro (NSBH), os autores focam em calcular a sobreposição de sinal para fusões de BNS apenas, com o entendimento de que o efeito será diminuído nos outros casos. Para um conjunto de frequências de fusão entre 20-1700 fusões/Gpc³/ano (Gpc: gigaparsecs), eles calculam o tempo médio esperado entre fusões individuais. A partir daqui, é possível modelar fusões de vários dias e plotar todos os sinais no espaço tempo-frequência.

É importante destacar que, para que a confusão de fontes seja motivo de preocupação, sinais de fusão precisam se sobrepor em tempo e frequência. Para cada fusão simulada, os autores calculam o número cumulativo de cruzamentos tempo-frequência que ocorrem em função da frequência. Ao fazer isso, eles identificaram que a maioria dos cruzamentos tempo-frequência ocorrem a baixas frequências. Isso é esperado, uma vez que a evolução de frequência dos BNS aumenta à medida que a fusão acelera, de modo que eles passam menos tempo em altas frequências.

Impacto nas análises
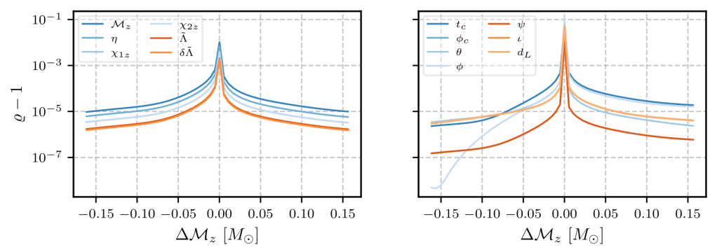
Em seguida, para responder à segunda questão (ii), os autores simulam um único cruzamento tempo-frequência de duas fusões, variando os parâmetros do sistema de ambos. Agora, eles podem analisar o resultado da simulação como fariam com um sinal de fusão real, tentando identificar os parâmetros do sistema alvo do sinal agora confuso. O objetivo é comparar com simulações similares de uma única fusão alvo, e determinar o quanto o cruzamento tempo-frequência impacta a incerteza nos valores dos parâmetros obtidos nas análises. Para isso, os autores definem uma razão de incerteza. Quanto mais próximo de 1 for essa razão, menos impacto terá a sobreposição de sinais sobre as análises dos sistemas de fusão.
Os autores, então, plotam as razões de incerteza para um número de parâmetros com função da diferença em massa de chirp (valor usado para avaliar as massas relativas de objetos em uma binária) de fontes que se cruzam. Eles descobriram que a razão de incerteza se torna muito relevante para todos os parâmetros quando as massas de chirp das fontes são mais semelhantes.

Conclusão
Com a melhoria dos detectores de ondas gravitacionais, esperamos ser capazes de observar eventos de fusão a uma taxa mais elevada. Como resultado, isso é importante para entendermos os potenciais efeitos negativos da confusão de fontes, quando dois sinais de fusão se cruzam no espaço tempo-frequência. O artigo de hoje é focado em entender quão frequentemente (e em quais frequências) podemos esperar confusão de fontes, e quão forte isso pode impactar na modelagem e análise de sistemas de fusão. No fim, os autores encontram que 91% das sobreposições tempo-frequência ocorrem em frequências relativamente baixas (< 5 Hz), um resultado da evolução forte de frequência desses sistemas. Em casos onde sobreposições ocorrem, o efeito na incerteza dos parâmetros é mínimo — menos de 1% em mais de 99,86% dos casos. Nossos parâmetros de evento de fusão obtidos do LIGO e do Virgo não deixarão de ser confiáveis tão cedo.
Traduzido para o português do astrobite original “Source Needed: Could Signal Confusion Hurt Next-Gen Gravitational Wave Detectors?“, escrito por Catherine Slaughter e editado por Erica Sawczynec.
Créditos da imagem em destaque: NASA/GSFC.
