Título: The resonant tidal evolution of the Earth-Moon distance
Autores: Mohammad Farhat, Pierre Auclair-Desrotour, Gwenaël Boué, Jacques Laskar
Instituição do primeiro autor: IMCCE, CNRS, Observatoire de Paris, PSL University, Paris, France
Status: Publicado em Astronomy & Astrophysics [acesso livre]
“How You Remind Me”
Já aconteceu de uma música de sua infância tocar e você se recordar imediatamente daquele amigo? Você sabe qual é: vocês eram inseparáveis, cresceram juntos, mas com o passar do tempo, vocês terminaram se afastando. Você não seria quem é hoje sem essa pessoa, mas ela não está mais ao seu lado como antigamente. Bem, o mesmo ocorre com “amigos celestiais”. A Terra e a Lua possivelmente se formaram juntas, mas a Lua está se afastando de nós aqui, na Terra. Há forças em jogo que levam a esse afastamento, ainda que lentamente, mas a história sobre como isso aconteceu está ainda para ser determinada!
“Can’t Stop”
A razão pela qual a Lua está recuando se deve ao efeito da força de maré, as mesmas que percebemos aqui na Terra. A Lua empurra a Terra um pouco mais de um lado do que do outro, causando então uma força de maré, em especial nos oceanos. Isso por si só não seria um problema, mas como a Terra está girando, esta força acaba tendo um arrasto ao redor do planeta. Esse arrasto retira energia de sua rotação para a órbita da Lua, levando ela assim a recuar lentamente.
Mas não se preocupe, pois vai levar ainda um longo tempo para a Lua sair da órbita da Terra. A taxa de recuo atual é de 3 cms por ano, e tem sido assim por muito tempo, desde quando a Lua foi formada a aproximadamente 4,425 bilhões de anos atrás durante a colisão hipotetizada entre Theia e Terra. Porém, se presumirmos que a taxa atual de recessão permaneceu constante, o “encontro” que formou a Lua teria acontecido muito mais recentemente, há aproximadamente 1,6 bilhões de anos. Isso implica que a evolução da distância da Lua mudou conforme o tempo.
“When you were young”

Os autores do artigo de hoje pretendem modelar as forças de torção (ou torque) aplicado pelas marés dos oceanos que desaceleram a Terra e leva a Lua a se afastar. Eles aplicaram três modelos, um mais realista do que o outro; o primeiro deles possui um oceano global (ao melhor estilo “Waterworld – O Segredo Das Águas”), enquanto o segundo diz que há apenas um oceano em um dos hemisférios e o terceiro deles se inicia com um oceano global, que depois é trocado por um oceano hemisférico cujo hemisfério em si muda de posição, seguindo aproximadamente o modelo de deriva continental (Figura 1). Além do formato do oceano, o modelo deles também possui a profundidade dele, além da frequência ou escala de tempo que descreve o quão rapidamente o oceano retorna ao normal após ser empurrado pelas forças de maré (como se fosse uma espécie de “viscosidade oceânica”).
“Here Without You”

Eles restringem os modelos com apenas dois pontos, sendo o primeiro deles a idade da Lua como um ponto inicial da evolução, ao passo que o segundo ponto é a taxa atual de recessão. Depois disso,eles incluem o máxio de física orbital possível, permitindo que o torque de maré resultante conduza o modelo daí em diante. Diferentes valores para a profundidade e viscosidade oceânicas em cada modelo criam histórias da distância Terra-Lua amplamente diferente entre si. O melhor modelo combinado é aquele cuja profundidade apresenta apenas 10% do volume oceânico atual, além de viscosidade que está em bom acordo com as melhores medidas hoje.
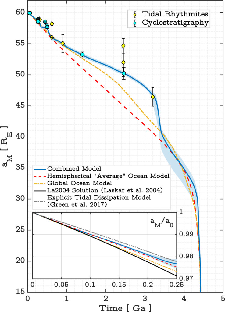
A fim de ver como esses modelos se comparam com a história Terra-Lua real, os autores mostram dados geológicos que carregam informações sobre a distância da Lua sobrepostos aos melhores ajustes obtidos para esses três modelos (Figura 2). Como um lembrete, eles não usaram estes dados para criar os modelos. Ainda assim, o ajuste deles a estes pontos é impressionante, especialmente para o modelo mais realista, que combina o modelo oceânico global com o hemisférico. Este modelo também demonstra alguns períodos de ressonância, onde o torque era grande e a Lua rapidamente se afastou (como a 3,35 bilhões de anos atrás, mas também em épocas mais recentes tais quais 350 e 600 milhões de anos atrás). Inclusive, podemos estar em um período de ressonância neste exato momento!
“In the end”
O fato da Lua estar lentamente se distanciando de nós não é necessariamente algo triste. Além da importância de termos uma Lua para explicar a origem da vida, os autores apontam que alguns momentos de ressonância de maré coincidem com grandes eventos da história da vida na Terra, tal como períodos de calmaria. Assim como nossas amizades de infância, suas transiências conferem um significado para formar as pessoas que somos hoje. Então, na próxima vez que olhar para a Lua, pense também sobre a influência indispensável que ela teve na história da Terra – ou talvez mandar mensagem para aquela pessoa que você não encontra faz algum tempo.
Tradução do astrobites original “Fading Friends: the evolution of the Earth-Moon distance“, escrito por Mark Popinchalk e editado por Maryum Sayeed. Figura de capa adaptada da Nasa pelo autor do artigo original.
