Autores: Emily Tyhurst, Hamsa Padmanabhan e Ue-Li Pen.
Instituição do primeiro autor: Canadian Institute for Theoretical Astrophysics. University of Toronto, Toronto, Ontario, Canada.
Status: Preprint. Acesso aberto no Arxiv.
Redshift Space distortion
Por conta das velocidades peculiares das galáxias, quando olhamos para suas posições em função do redshift ao invés da distância, um efeito de distorção aparece. As galáxias ficam distribuídas como uma linha na direção da linha de visada, e achatadas na direção perpendicular à ela. Essa distorção recebe o nome de Distorção no Espaço de Redshift, e para o caso da direção radial em específico, Dedos de Deus.
O redshift (z) não mostra efeitos exclusivamente cosmológicos, mas também das velocidades peculiares das galáxias. A distribuição em 3D que temos das galáxias é feita no espaço de redshift e dela podemos extrair informação sobre a estrutura de grande escala (LSS, do inglês large-scale structure) da distribuição de matéria no universo. No entanto, objetos astrofísicos estão sujeitos a dinâmica não-linear.
O vetor velocidade pode ser tirado do espectro de potência em 1D das flutuações de densidade na LSS. Para isso, é necessária uma função de transferência. E é aí o problema: as funções de transferência lineares não reproduzem bem o campo de velocidades. No artigo de hoje, os autores buscam mostrar os regimes com os quais os modelos de distorção no espaço de redshift reproduzem resultados não-lineares no campo de velocidades.
Descrição Lagrangiana e Euleriana
O fluido cosmológico (nesse caso, a matéria escura) é descrito por um modelo onde cada partícula ocupa uma caixa em cada instante de tempo, essa é a descrição Euleriana. Uma outra forma de entender o movimento das partículas é pela descrição Lagrangiana, onde seguimos cada partícula em sua trajetória – veja o vídeo no Wikipedia.
Os autores testaram se uma descrição Lagrangiana traria resultados de campo de velocidades melhores. Para isso, foi preciso reescrever a coordenada da partícula de matéria escura para o referencial Lagrangiano. A vantagem é que vai aparecer um campo de deslocamento que depende do potencial gravitacional.
Campo de velocidades
No regime linear da teoria de perturbação, flutuações de densidade são calculadas a partir de uma função de transferência que converte flutuações iniciais em flutuações para um dado redshift. Da mesma forma, uma função de transferência para velocidade serve para obter o vetor velocidade.
No artigo, foram usadas simulações de n-corpos do CUBE com 800 x 800 x 800 partículas por cada caixa de 200 Mpc/h. Os parâmetros cosmológicos foram os mesmos obtidos pelo Dark Energy Survey (DES).
De posse dos dados, é visível o efeito dos Dedos de Deus no espaço de redshift para a descrição Euleriana da densidade, figura 1. Já na descrição Euleriana isso não aparece, sem contar que é mais parecido com um campo gaussiano aleatório.

O campo de velocidades é mostrado na Figura 2. Os autores mostram campos tirados diretamente da posição das partículas em ambas descrição, Euleriana e Lagrangiana, e também a partir de funções de transferência. O referencial Euleriano é mais compatível com o campo real das simulações, mas ambos os casos são representativos em grandes escalas (a figura como um todo).

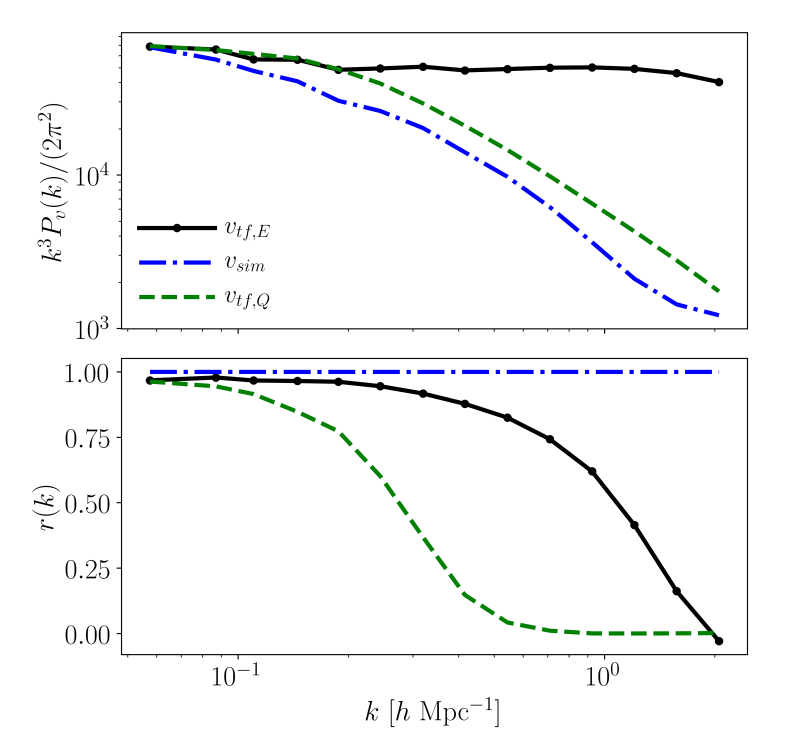
Os autores também analisaram o espectro de potência da velocidade. A Figura 3 mostra o espectro da simulação, no contexto Euleriano e Lagrangiano. Com a simulação, há uma queda mais rápida do espectro em escalas menores que os outros resultados. Isso acontece por conta dos efeitos de Dedos de Deus, já que no valor “real” da simulação não foi usado o espaço de redshift. No painel de baixo, vemos o coeficiente de correlação comparado com a simulação (em azul). A descrição Euleriana é mais correlacionada que a Lagrangiana, mas só em grandes escalas.

O estudo de soluções lineares para encontrar a velocidade em escalas lineares pode ser feito com o formalismo de funções de transferência. Os autores mostraram vantagens de utilizar a descrição Lagrangiana já que mostram menor desvio da velocidade real em escalas não-lineares. Aspectos não-lineares no espectro de potência ainda são problemas em aberto. O artigo de hoje nos mostra um caminho possível para lidar com este problema já que teremos grandes observações futuras com surveys cada vez maiores como o Vera C. Rubin Observatory (antes chamado de Large Synoptic Survey Telescope – LSST).
Foto em destaque: Figura 1 do artigo.
