Autores: Paula Izquierdo, Odette Toloza, Boris T. Gänsicke, Pablo Rodríguez-Gil, Jay Farihi, Detlev Koester, Jincheng Guo, Seth Redfield
Instituição do primeiro autor: Instituto de Astrofísica de Canarias e Departamento de Astrofísica, Universidad de La Laguna, Espanha
Status: publicado no MNRAS [acesso aberto no astro-ph]
Anãs brancas são descendentes de estrelas que uma vez brilharam na sequência principal, como o nosso Sol. Elas se formam quando o combustível no núcleo acaba e são, essencialmente, como um pedaço de carvão esgotado que apenas esfria. Mas o que acontece com os planetas que orbitam a estrela depois que isso acontece? Nos últimos anos, astrônomos observaram elementos químicos inesperados no espectro de diversas anãs brancas, que só podem ser explicados pela destruição e subsequente acreção de material proveniente de planetas, asteroides ou cometas. Essas estrelas são chamadas anãs brancas poluídas.
Espectros de anãs brancas normalmente mostram apenas hidrogênio ou hélio, porque elas possuem uma gravidade tão intensa (10 milhões de vezes mais intensa que na Terra!) que quaisquer elementos mais pesados acabam afundando para o núcleo. O que se detecta na atmosfera é então o elemento mais leve que não foi ejetado quando a estrela perdeu suas camadas externas durante o processo de evolução. Em alguns casos, observou-se atmosferas dominadas por hélio mostrando uma pequena quantidade de hidrogênio. Nessa situação, existem três possibilidades: i) o hidrogênio simplesmente não foi completamente perdido, ii) foi adquirido de uma fonte externa (como o meio interestelar ou um planeta) ou iii) foi extraído das camadas mais profundas da estrela.
Pesquisas anteriores examinaram várias anãs brancas e descobriram que essa contaminação por hidrogênio é quase duas vezes mais comum em estrelas poluídas, indicando que planetas podem ser de fato a razão para o excesso de hidrogênio. Um outro estudo verificou que estrelas com excesso de hidrogênio também apresentavam excesso de oxigênio, o que pode ser explicado como resultante da acreção de água, novamente apontando para corpos planetários como a origem do hidrogênio.
O artigo de hoje faz uma análise detalhada da anã branca poluída GD 424, que é dominada por hélio mas contaminada por hidrogênio. Ao estudar o espectro desta estrela em detalhes, os autores querem descobrir o histórico de acreção para entender a composição do objeto destruído pela estrela.
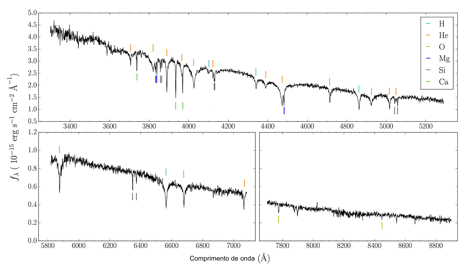
O mais importante primeiro: conheça sua estrela!
Usando observações de espectroscopia e fotometria do Telescópio William Herschel no Observatório del Roque de los Muchachos, em La Palma, Espanha, os autores observaram a GD 424 e descobriram uma atmosfera dominada por hélio, com presença de hidrogênio e várias linhas de absorção indicando a presença de oxigênio, magnésio, silício e cálcio na atmosfera. A forma dessas linhas depende da gravidade e temperatura da estrela, mas também da abundância desse elemento na atmosfera. Os autores primeiro utilizaram modelos para determinar as propriedades da anã branca, temperatura e gravidade. Eles puderam então determinar abundâncias para os diferentes elementos observados (veja a Figura 1).

Então, o que está acontecendo com essa acreção?
Para obter a composição do objeto acretado, teríamos que fazer algumas suposições sobre quando ele começou a ser engolido pela estrela e sobre o quão rápido isso está acontecendo. Os autores usam um modelo simples para acreção, que acontece em três estágios: acreção crescente (que leva a um aumento linear na abundância de poluentes), acreção em estado estacionário (em que os elementos atingem o equilíbrio na fotosfera) e acreção decrescente (em que a abundância de poluentes decai exponencialmente devido à difusão para o núcleo). Em suma, a abundância de poluentes depende de um balanço entre acreção (quanto a atmosfera está ganhando) e difusão (quanto a atmosfera perde para o núcleo).
Infelizmente, não há pistas óbvias sobre qual desses três estados é o atual para esta estrela, então os autores testaram todos os três. Os estados crescente e estacionário parecem possíveis e implicariam um planeta com composição semelhante à Terra, mas com um pouco mais de cálcio (veja a Figura 2). A taxa de acreção está entre as mais altas observadas para anãs brancas, e GD 424 já acretou pelo menos uma massa equivalente a do asteroide 10 Hígia, o quarto maior do Sistema Solar!

Outra peça interessante do quebra-cabeça é descobrir quanta água havia nesse possível planeta semelhante à Terra. Os autores chegam ao teor de água observando o excesso de oxigênio que não pode ser contabilizado com outros minerais comuns, como óxido de magnésio ou dióxido de titânio. Ao que parece, GD 424 está acretando detritos planetários rochosos e secos.
De onde veio o excesso de hidrogênio então?
Se o planeta que está sendo acretado era seco, então de onde vem o excesso de hidrogênio? Para o hidrogênio ainda aparecer no espectro, ele teve que ser acretado recentemente, depois que a anã branca esfriou o suficiente. Caso contrário, a pressão de radiação evitaria a acreção. Isso significa que o hidrogênio provavelmente teve que vir de um episódio de acreção anterior, em que um outro planeta, rico em água, foi destruído, e o oxigênio desse episódio não é observado porque difunde para o núcleo em uma escala de tempo mais curta, por ser mais pesado que o hidrogênio.
Agora que sabemos todas as peças, podemos juntar toda a história: desde que deixou a sequência principal, GD 424 comeu um planeta rico em água e agora está acumulando detritos rochosos secos de outro planeta. Quem sabe se sobrou algo no menu, mas uma coisa é certa: GD 424 é uma anã branca com muita fome!
Adaptado de The Very Hungry White Dwarf, escrito por Briley Lewis.

1 comentário