Título: Testing the white dwarf mass-radius relationship with eclipsing binaries
Autores: S. G. Parsons, B. T. Gänsicke, T. R. Marsh et al.
Instituição do primeiro autor: Department of Physics and Astronomy, University of Sheffield, Reino Unido
Status: aceito pelo MNRAS [acesso aberto]
Olhe pela sua janela. Você pode ver o Sol? Se já é noite, escolha uma estrela aleatória. Nosso Sol vai um dia tornar-se uma estrela anã branca, e a chance de que a estrela aleatória que você escolheu siga o mesmo destino é alta, especialmente se ela for avermelhada. Estrelas anãs brancas são o final evolutivo mais comum para uma estrela. As famosas supernovas na verdade apenas ocorrem quando uma estrela é massiva o suficiente para fundir elementos mais pesados que hélio em seu núcleo, e normalmente esse não é o caso. O que acontece em vez disso é que a estrela apenas pode produzir elementos até o carbono e o oxigênio, e então as reações de fusão no núcleo da estrela cessam. Sem liberação de energia no núcleo para contrabalançar a gravidade, o núcleo de carbono-oxigênio vai contrair-se mais e mais até tornar-se degenerado. Esse núcleo degenerado é essencialmente a anã branca, que se torna visível quando as camadas externas da estrela são ejetadas em seu último suspiro de queima de hidrogênio.
O que é matéria degenerada?
Matéria degenerada ocorre em estrelas quando a densidade é tão alta que todos os elétrons estão acumulados em estados de baixa energia – mas há uma peculiaridade: devido ao princípio de exclusão de Pauli, apenas dois férmions, como os elétrons, podem ocupar um mesmo nível de energia. Com isso, outros elétrons são obrigados a ocupar níveis mais altos de energia e não podem mover-se para os níveis inferiores, já ocupados. Isso faz a matéria degenerada bastante resistente à compressão e é de fato o que impede as anãs brancas de colapsarem.
Matéria degenerada tem uma propriedade muito legal: a pressão não depende da temperatura. Isso é porque a energia cinética desses elétrons impedidos de moverem-se para estados mais baixos de energia são bastante altas, e as taxas de colisão entre elétrons e outras partículas são bastante baixas, de modo que os elétrons essencialmente viajam à velocidade da luz. A pressão no gás depende da velocidade dos elétrons; como a velocidade da luz é o mais rápido que eles podem ir, adicionar calor não vai alterar a pressão. Isso tem um efeito um tanto contra-intuitivo: como a única forma de aumentar a pressão é adicionando massa, quando a pressão aumenta, a gravidade também aumenta e as partículas aproximam-se umas das outras, de modo que o objeto torna-se menor. Em outras palavras, quando mais massiva uma anã branca, menor é o se raio. Como consequência dessa estranha propriedade, existe uma relação entre a massa e o raio de uma anã branca, de modo que, se você conhece o valor de um, pode estimar o outro e vice-versa. Mas o quão precisa é essa relação massa-raio? Os autores do artigo de hoje decidiram testar!
Obtendo massa e raio independentemente
Apesar de largamente utilizada, a relação massa-raio não tinha sido testeda observacionalmente até este artigo. Isso é porque não há muitas maneiras de estimar a massa de uma anã branca sem utilizar essa relação em algum momento. O que os autores deram-se conta é que podemos utilizar estrelas binárias eclipsantes para isso. Binárias eclipsantes orbitam em um plano que intersecta nossa linha de visada, permitindo que detectemos redução no fluxo quando as estrelas passam uma em frente da outra. Para esses objetos, podemos combinar medidas de fotometria e espectroscopia para estimar a massa e o raio independentemente.
A forma dos eclipses das anãs brancas por suas companheiras, que neste artigo são todas estrelas de sequência principal, fornecem duas informações: a largura e a duração dos elipses. Mas há um problema: temos três variáveis incógnitas – a inclinação da órbita e o raio de cada estrela. Precisamos então de mais uma informação para determinar todas as variáveis.
Os autores sugerem diferentes métodos, mas o que funciona melhor na amostra deles é utilizar o avermelhamento gravitacional estimado da espectroscopia. Como a gravidade das anãs brancas é realmente alta (cerca de 350,000 vezes a gravidade na Terra!), a o comprimento de onda da luz é deslocado uma quantia mensurável para o vermelho conforme os fótons afastam-se da estrela, como se fossem atrasados. A quantia de desvio para o vermelho depende da massa e do raio da anã branca. Combinando isso com a terceira lei de Kepler, obtemos uma relação entre o raio da anã branca e a inclinação da órbita. Tudo que precisamos é estimar a amplitude da variação da velocidade radial para ambas estrelas – daí a necessidade de espectroscopia, que também é utilizada para estimar a temperatura efetiva da anã branca. Voltando à terceira lei de Kepler com a inclinação obtida, podemos estimar também a massa da anã branca.
Em suma, o ajuste simultâneo da curva de luz e das velocidades radias de ambas estrelas, junto com a terceira lei de Kepler e a fórmula para o avermelhamento gravitacional, permitem-nos estimar a massa e o raio sem ter de recorrer à relação massa-raio. Exatamente a medida independente que precisávamos!
Os resultados
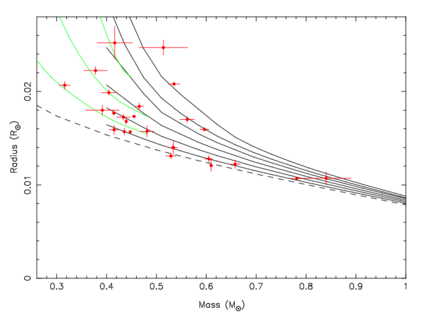
A Figura 1 mostra a comparação entre os valores que os autores obtiveram e modelos teóricos para diferentes temperaturas. Linhas pretas são para anãs brancas com núcleo de C/O, mais comuns, enquanto linhas verdes são para anãs brancas com um núcleo de hélio. Anãs brancas com núcleo de He são menos massivas e formam-se quando as camadas externas são perdidas pela estrela progenitora antes mesmo da queima de hélio começar. Essas anãs brancas seriam formadas por estrelas de baixa massa que nunca atingem as condições de temperatura e pressão necessárias para queimar hélio, mas o Universo na verdade não é velho o suficiente para que estrelas de baixa massa tenham evoluído para além da sequência principal, de modo que essas anãs brancas são explicadas por alguma forma de perda de massa intensificada (como por interação com uma binária). Como as anãs brancas analisadas têm diferentes temperaturas e composições de núcleo, é difícil definir o quanto os resultados concordam com a teoria apenas baseado nesta figura.



Por que isso importa?
Os autores concluem que tanto nossa relação massa-raio quanto nosso método de modelagem espectral são bastante bons em estimar as propriedades de anãs brancas. Esse resultado é importante não apenas para aqueles diretamente interessados em anãs brancas, mas também tem implicações para cosmologia. O raio de uma anã branca está relacionado com a sua taxa de esfriamento, que depende da sua área superficial. Como você pode ler neste astroponto, a taxa de esfriamento de uma anã branca pode ser utilizada para estimar as idades de diferentes populações estelares. A relação massa-raio também impõe um limite superior na massa de uma anã branca, que é importante resultado para o estudo de supernovas tipo Ia, que por sua vez são utilizadas para medir a expansão do Universo.
Agora que sabemos que nossos modelos teóricos estão fazendo um bom trabalho, podemos continuar fazendo ciência de qualidade com eles!
Este artigo foi originalmente publicado por mim no Astrobites: How well do we measure the radii of white dwarfs?

1 comentário